Dendritic Cell-Based Immunotherapy Targeting Synthesized Peptides for Advanced Biliary Tract Cancer

Survival Time

Summary

The goal of this study is to determine the safety and efficacy of dendritic cell (DC)-based immunotherapy targeting synthesized peptides, Wilms tumor 1 (WT1) and Mucin 1, cell surface associated (MUC1) for biliary tract cancers (BTCs). The results suggest the therapy was safe and produced a clinical response for patients who had chemotherapy.

Patients characteristics

65 patients who had nonresectable, recurrent or metastatic Biliary tract cancer ages 46-86 years old with median age of 68.0 (13 patients with intrahepatic cholangiocarcinoma, 30 patients with extrahepatic cholangiocarcinoma, 22 patients with gallbladder cancer).

Methodology

• Peripheral blood mononuclear cells were prepared from leukapheresis by Ficoll-Hypaque gradient density centrifugation
• PBMCs were attached to tissue culture plates and were continuously cultured in medium containing GM-CSF 50ng/mL, and IL-4 25ng/mL to generate immature DCs for 5 days.
• Immature DCs were stimulated by OK-432 and Prostaglandin E2 (50ng/mL) for 24 hours.
• At day 7 of culture, the DC were pulsed with the major histo- compatibility complex-1-restricted WT1 peptide antigens.

Treatment

All patients were injected 5 to 7 times intradermally (ID) with DC about (107 cells/injection) in close proximately to axial lymph nodes at interval of approximately 14-21 days. OK-432 was simultaneously administered with the DC vaccine as an immunological adjuvant in the patients with had no drug allergy.

Results

• 55% of all of the patient had common adverse event reaction in the injection site. And fever 23%.
• No serious treatment related adverse events was observed during the vaccination.
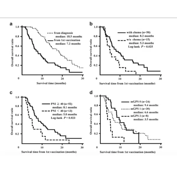
• The MST from diagnosis was 18.5 months and from the first vaccination was 7.2 months
• The 1 year survival rate from diagnosis was 69% while 2 year survival was 31%
• At 3 months after the vaccination, none of all 65 patients showed complete remission (CR). However, 4 patients (6%) had partial response (PR), and 15 patients had stable disease (SD) and 44 patients (67.7%) had progressive disease (PD)
• 4 patients survived for more than 20 months and 1 patient survived for 32 months.
• The MST from the first vaccine with Chemotherapy was 8.2 months and without Chemotherapy was 5.3 months.

Conclusion

DC-based immunotherapy targeting WT1 and/or MUCI was safe and produced a clinical response. DC vaccine was well tolerated in all patients and there were no serious complications. DC-based immunotherapy produced a clinical response for the patients who underwent chemotherapy and maintained good nutrition status.

Article Reference link: click here

Scientific article publishing date: 7/5/2013

Immucura identifier BSC21_324EN

SEARCH