Dendritic cell-activated cytokine-induced killer cell-mediated immunotherapy is safe and effective for cancer patients >65 years old

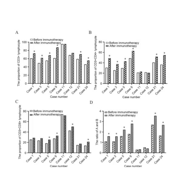
Before and after immunotherapy

Summary

This study aims to determine the efficacy and safety of dendritic cell (DC)-activated cytokine-induced killer cell (CIK) treatment for patients with Gallbladder carcinoma, lung cancer, colorectal adenocarcinoma, leukemia, gastric carcinoma, esophagus cancer, liver cancer, pelvic cancer and multiple myeloma . The findings suggest that DC-CIK is safe and effective for cancer patients aged> 65.

Patients characteristics

58 patients with cancer, including solid tumors and hematological malignancies, histopathologically confirmed cancers, expected survival duration >3 months, Karnofsky performance status (KPS) >40%; aged >65 years; free of congestive heart failure, severe coronary artery disease, cardiac arrhythmias, organ transplant, serious infection, severe autoimmune disease or central nervous system disease and without chemotherapy or immunomodulatory treatment during the previous 4 weeks.

Methodology

The DCs and CIKs were generated following Good Manufacturing Practice guidelines. Recombinant human granulocyte-macrophage colony-stimulating factor (rhGM-CSF) was injected (150 μg) 24 hours prior to blood collection to mobilize white blood cells. PBMCs were collected from patients or healthy donors using a COBE Spectra continuous flow blood cell separator. The concentrated PBMCs were suspended immediately in CIK medium X–VIVO 20 serum-free medium 50 ng/ml anti-CD3 antibody, 1,000 U/ml recombinant human IL-2 (rhIL-2) and 1,000 U/ml recombinant human IFN-γ, at 37°C with 5% CO2 and fed every 5 days in fresh complete medium with various types of cytokines.
For DC culture, PBMCs were cultured in X-VIVO 20 medium containing 1,000 U/ml IL-4 and 500 U/ml rhGM-CSF. Autologous tumor lysate (100 μg/ml) was added at day 6 and co-cultured with DCs for 24 hours.
For CIK activation, CIKs were co-cultured with DCs loaded with tumor antigen for 7 days. The DC-CIK cells were harvested and analyzed for phenotype, then suspended in 100 ml saline for intravenous injection.

Treatment

Patients received 1–4 cycles of DC-activated CIK treatment at intervals of 1 month after chemotherapy/radiotherapy. For each cycle, patients were treated with a median of (8.3±0.61)x109 DC- activated CIKs (range, 8.0–12.6×109) at 1-day intervals for two intravenous infusions.

Results

Treatment response
In total, 26 out of 58 patients had a measurable focus region: 1 achieved CR and 25 achieved PR, with an objective remission rate of 44.83%. Among the remaining patients, 30 achieved SD (51.72%) and 2 demonstrated PD (3.45%). There were 42 of 58 patients who underwent CBR evaluation: 36 had both KPS that was increased >20% and pain relief of >50%, with an overall CBR of 85.71% (36/42). Additionally, following treatment with DC-activated CIKs, the KPS was 87.28±5.46, which was significantly higher than prior to treatment (69.02±7.45).
Referring to the lymphocyte subpopulation, the present test results indicated that 75% of patients showed an increase in CD3+CD4+ lymphocytes and 50% of patients showed an increase in CD3+CD8+ lymphocytes. The population of CD4/CD8 cells was significantly increased as well.
Toxicity
No serious side effects that may present a safety hazard to life were observed. No patient failed to complete the DC-CIK immunotherapy. There were no grade III–IV cell-associated toxicities, and common grade I– II toxicities consisted of transient chills, fever, fatigue, headache and anemia.

Conclusion

This study suggests that the immunotherapy mediated by DC-CIK is safe and effective for cancer patients aged >65 years.

Article Reference link: click here

Scientific article publishing date 11/2/2016

Immucura identifier BSC21_242EN

SEARCH