Combination of External Beam Radiation (EBRT) with Intratumoral Injection of Dendritic Cells as Neo-Adjuvant Treatment of High-Risk Soft Tissue Sarcoma Patients

Combination of External Beam Radiation (EBRT) with Intratumoral Injection of Dendritic Cells as Neo-Adjuvant Treatment of High-Risk Soft Tissue Sarcoma Patients Contact Us Summary The aim of this study was to discover the effect of combination of dendritic cells (DC) and fractionated external beam radiation (EBRT) in patients with soft tissue sarcoma (STS). The results […]
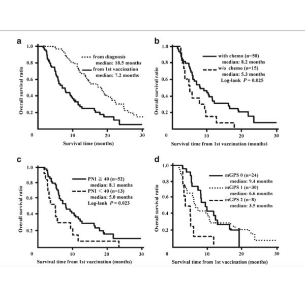
Dendritic Cell-Based Immunotherapy Targeting Synthesized Peptides for Advanced Biliary Tract Cancer

Dendritic Cell-Based Immunotherapy Targeting Synthesized Peptides for Advanced Biliary Tract Cancer Contact Us Summary The goal of this study is to determine the safety and efficacy of dendritic cell (DC)-based immunotherapy targeting synthesized peptides, Wilms tumor 1 (WT1) and Mucin 1, cell surface associated (MUC1) for biliary tract cancers (BTCs). The results suggest the therapy […]
A phase I/IIa study of adjuvant immunotherapy with tumour antigen-pulsed dendritic cells in patients with hepatocellular carcinoma

A phase I/IIa study of adjuvant immunotherapy with tumour antigen-pulsed dendritic cells in patients with hepatocellular carcinoma Contact Us Summary This study evaluated the safety and efficacy of adjuvant dendritic cell (DC) therapy in HCC patients who received primary treatment for hepatocellular carcinoma (HCC). Adjuvant DC vaccine for HCC was safe and well tolerated in […]
Effects of Dendritic Cell-activated and Cytokine-induced Killer Cell Therapy on 22 Children with Acute Myeloid Leukemia after Chemotherapy

Effects of Dendritic Cell-activated and Cytokine-induced Killer Cell Therapy on 22 Children with Acute Myeloid Leukemia after Chemotherapy Contact Us Summary This study investigated the efficiency of dendritic cell-activated and cytokine-induced killer cell (DC-CIK) therapy on children with acute myeloid leukemia (AML) after chemotherapy was investigated. The results conclude, MRD in children with AML can […]
Phase I/II study of Immunotherapy using Tumor Antigen-pulsed Dendritic Cells in patients with Hepatocellular Carcinoma (HCC)

Phase I/II study of Immunotherapy using Tumor Antigen-pulsed Dendritic Cells in patients with Hepatocellular Carcinoma (HCC) Contact Us Summary This study evaluated the safety, feasibility and efficacy of multiple tumor-associated antigen (TAA)-pulsed DC vaccine in patients with hepatocellular carcinoma. The feasibility, safety and immune activity were confirmed in the patients. Patients characteristics 5 Patients with […]
Postoperative dendritic cell vaccine plus activated T-cell transfer improves the survival of patients with invasive hepatocellular carcinoma

Postoperative dendritic cell vaccine plus activated T-cell transfer improves the survival of patients with invasive hepatocellular carcinoma Contact Us Summary This study investigated the clinical utilization of an autologous tumor lysate-pulsed dendritic cell vaccine plus ex vivo activated T cell transfer (ATVAC) in an adjuvant setting for postoperative Hepatocellular carcinoma. The findings suggest A postoperative […]